Contoh Soalan Kunci Kira Kira Tingkatan 3





4 Persamaan Kunci Kira Kira Edit

4 Persamaan Kunci Kira Kira Edit

Microsoft Word Simpan Kira Form 3

Microsoft Word Simpan Kira Form 3

4 Persamaan Kunci Kira Kira Edit

4 Persamaan Kunci Kira Kira Edit

Contoh Soalan Perniagaan Tingkatan 4 Bab 3 Soalan Am

Contoh Soalan Perniagaan Tingkatan 4 Bab 3 Soalan Am

4 Persamaan Kunci Kira Kira Edit

4 Persamaan Kunci Kira Kira Edit

Contoh Soalan Perniagaan Tingkatan 4 Soalan R

Contoh Soalan Perniagaan Tingkatan 4 Soalan R

Contoh Soalan Perniagaan Tingkatan 4 Soalan R

Kemahiran Hidup Bersepadu Kunci Kira Kira

Kemahiran Hidup Bersepadu Kunci Kira Kira

Simpan Kira

Simpan Kira

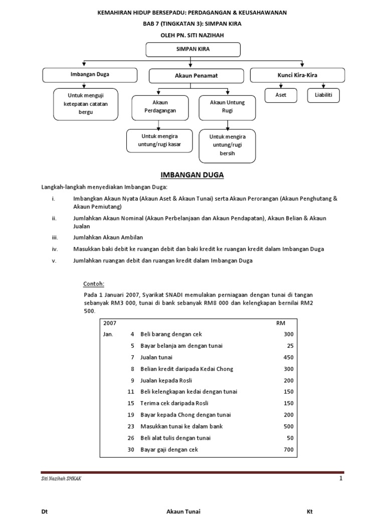
Nota Khb Pk Tingkatan 3 Imbangan Duga

Nota Khb Pk Tingkatan 3 Imbangan Duga

Contoh Soalan Pelarasan Akaun Tingkatan 4 Z Soalan

Contoh Soalan Pelarasan Akaun Tingkatan 4 Z Soalan

Contoh Teknik Menjawab Soalan Kelab Dan Persatuan Jawapan

Contoh Teknik Menjawab Soalan Kelab Dan Persatuan Jawapan

Simpan Kira

Simpan Kira

Pdf Muat Turun Dari Blog Cikgu Azlan Penyata Kewangan Milikan

Pdf Muat Turun Dari Blog Cikgu Azlan Penyata Kewangan Milikan

Contoh Soalan Akaun Kelab Dan Persatuan I Soalan

Contoh Soalan Akaun Kelab Dan Persatuan I Soalan

108545792 Peperiksaan Akhir Tahun 2011 Kertas 2 Prinsip Perakaunan Ti

108545792 Peperiksaan Akhir Tahun 2011 Kertas 2 Prinsip Perakaunan Ti

Peperiksaan Akhir Tahun 2011 Kertas 2 Prinsip Perakaunan Tingkatan 4

Peperiksaan Akhir Tahun 2011 Kertas 2 Prinsip Perakaunan Tingkatan 4

Contoh Soalan Akaun Untung Rugi Tingkatan 3 Terengganu V

Contoh Soalan Akaun Untung Rugi Tingkatan 3 Terengganu V

Simpan Kira Kira T3

Simpan Kira Kira T3

Prinsip Perakaunan Tingkatan 4 Pelajar Pages 1 50 Text

Prinsip Perakaunan Tingkatan 4 Pelajar Pages 1 50 Text

Prinsip Perkaunan Form V Pembubaran Perkongsian

Prinsip Perkaunan Form V Pembubaran Perkongsian

Source : pinterest.com